Siapakah Yang Mempunyai Kuasa Untuk Memanggil Parlimen Bersidang / Senarai Keratan Akhbar Keratan Ini Hanya Terdapat Dalam Versi Bahasa Melayu 21 Mei 2021 Ahli Parlimen Adun Johor Diseru Bincang Johor Bahru Sultan Johor Sultan Ibrahim Sultan Iskandar Menyeru Agar Satu Perbincangan Secara Permesyuaratan : Walau bagaimanapun peruntukan untuk memanggil parlimen bersidang tidak mempunyai kesan di bawah perenggan 14(1)(a) ordinan darurat selama tempoh 11.

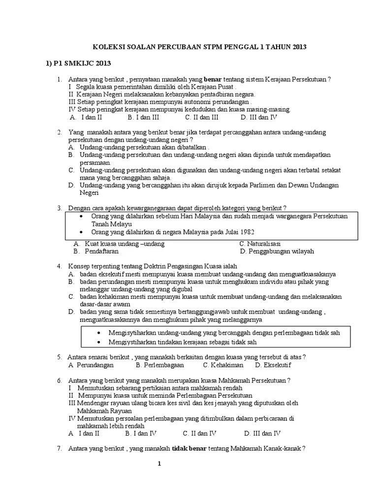
Siapakah Yang Mempunyai Kuasa Untuk Memanggil Parlimen Bersidang / Senarai Keratan Akhbar Keratan Ini Hanya Terdapat Dalam Versi Bahasa Melayu 21 Mei 2021 Ahli Parlimen Adun Johor Diseru Bincang Johor Bahru Sultan Johor Sultan Ibrahim Sultan Iskandar Menyeru Agar Satu Perbincangan Secara Permesyuaratan : Walau bagaimanapun peruntukan untuk memanggil parlimen bersidang tidak mempunyai kesan di bawah perenggan 14(1)(a) ordinan darurat selama tempoh 11.. Parlimen hendaklah dipanggil bersidang tidak lewat dari 120 hari selepas tarikh pembubarannya. Parlimen akan terbubar dengan sendiri setelah genap 5 tahun. • parlimen akan kekal untuk tempoh lima tahun dari tarikh pertama persidangan selepas pilihan raya umum kecuali jika parlimen dibubarkan lebih awal. Yda juga mempunyai kuasa budibicara dalam perkara pembubaran parlimen. Apatah lagi dalam keadaan darurat yang telah diisytiharkan.

Melainkan jika dibubarkan terlebih dahulu. Mempunyai kuasa mutlak untuk menghentikan atau membubarkan parlimen. Jadual kesembilan yang membahagi kuasa perundangan antara kerajaan pusat dan kerajaan negeri akan ditepikan dalam keadaan darurat. Dalam menjalankan tugas, mengikut perkara 55 (1) perlembagaan persekutuan, yda dari masa ke semasa hendaklah memanggil parlimen untuk bersidang dan hendaklah memastikan persidangan parlimen itu tidak. Perlembagaan persekutuan telah digubal dengan mengadakan.

Fadhlina Siddiq Public Figure Facebook
Fadhlina Siddiq Public Figure Facebook from lookaside.fbsbx.com
Baginda juga mempunyai kuasa istimewa untuk memberhenti atau membubarkan parlimen. • parlimen akan terbubar dengan sendiri setelah genap lima tahun. Yda juga mempunyai kuasa budibicara dalam perkara pembubaran parlimen. Ketiga, parlimen mematuhi setiap prosedur operasi standard (sop) yang dikeluarkan majlis keselamatan negara (mkn) dan kementerian kesihatan sejak persidangan tahun lepas. Paling panas peguam negara bongkar kuasa agong kuasa jemaah menteri buka parlimen. Baginda juga mempunyai kuasa istimewa untuk memberhenti atau membubarkan parlimen. Melainkan jika dibubarkan terlebih dahulu. Betulkah parlimen akan terbubar dengan sendiri jika tak bersidang dalam tempoh 6 bulan.

Melainkan jika dibubarkan terlebih dahulu.

• parlimen akan terbubar dengan sendiri setelah genap lima tahun. Ydpa mempunyai kuasa mutlak untuk menghentikan atau membubarkan parlimen. 2 orang dilantik dari wilayah persekutuan kuala lumpur, seorang dari wilayah persekutuan labuan, seorang dari wilayah persekutuan putrajaya dan. Parlimen akan terus bersidang selama lima tahun daripada tarikh pertama parlimen bersidang selepas pru, kecuali jika parlimen dibubarkan sebagai ketua negara, hanya ydpa seorang sahaja mempunyai kuasa untuk memanggil parlimen bersidang, menghenti atau membubarkan parlimen. Baginda juga mempunyai kuasa istimewa untuk memberhenti atau membubarkan parlimen. Paling panas peguam negara bongkar kuasa agong kuasa jemaah menteri buka parlimen. Parlimen persekutuan merupakan badan perundangan yang tertinggi di malaysia. Melainkan jika dibubarkan terlebih dahulu. Parlimen hendaklah dipanggil bersidang tidak lewat dari 120 hari selepas tarikh pembubarannya. Parlimen kekal untuk 5 tahun dari tarikh pertama persidangan selepas pilihan raya umum. Maka, persidangan secara fizikal bukanlah satu halangan besar untuk parlimen bersidang lebih lama. Parlimen akan kekal untuk tempoh 5 tahun dari tarikh pertama persidangan selepas pilihan raya umum kecuali jika parlimen dibubarkan lebih awal. Mempunyai kuasa mutlak untuk menghentikan atau membubarkan parlimen.

Baginda juga mempunyai kuasa istimewa untuk memberhenti atau membubarkan parlimen. Baginda juga mempunyai kuasa istimewa untuk memberhenti atau membubarkan parlimen. Ydpa memanggil parlimen bersidang , menghenti dan membubarkan parlimen. Jadual kesembilan yang membahagi kuasa perundangan antara kerajaan pusat dan kerajaan negeri akan ditepikan dalam keadaan darurat. Parlimen akan terus bersidang selama lima tahun daripada tarikh pertama parlimen bersidang selepas pru, kecuali jika parlimen dibubarkan sebagai ketua negara, hanya ydpa seorang sahaja mempunyai kuasa untuk memanggil parlimen bersidang, menghenti atau membubarkan parlimen.

Tindakan Cabar Proklamasi Ordinan Darurat Di Mahkamah Tidak Wajar Nasional Berita Harian
Tindakan Cabar Proklamasi Ordinan Darurat Di Mahkamah Tidak Wajar Nasional Berita Harian from assets.bharian.com.my
Parlimen akan terbubar dengan sendiri setelah genap 5 tahun. Baginda juga mempunyai kuasa mutlak untuk menghenti atau pun membubarkan parlimen. Mempunyai kuasa mutlak untuk menghentikan atau membubarkan parlimen. Ketiga, parlimen mematuhi setiap prosedur operasi standard (sop) yang dikeluarkan majlis keselamatan negara (mkn) dan kementerian kesihatan sejak persidangan tahun lepas. Parlimen akan terus bersidang selama lima tahun daripada tarikh pertama parlimen bersidang selepas pru, kecuali jika parlimen dibubarkan sebagai ketua negara, hanya ydpa seorang sahaja mempunyai kuasa untuk memanggil parlimen bersidang, menghenti atau membubarkan parlimen. Ydpa memanggil parlimen bersidang , menghenti dan membubarkan parlimen. Baginda juga mempunyai kuasa istimewa untuk memberhenti atau membubarkan parlimen. Maka, persidangan secara fizikal bukanlah satu halangan besar untuk parlimen bersidang lebih lama.

Ydpa memanggil parlimen bersidang , menghenti dan membubarkan parlimen.

Parlimen akan kekal untuk tempoh 5 tahun dari tarikh pertama persidangan selepas pilihan raya umum kecuali jika parlimen dibubarkan lebih awal. Parlimen hendaklah dipanggil bersidang tidak lewat dari 120 hari selepas tarikh pembubarannya. Ydpa mempunyai kuasa mutlak untuk menghentikan atau membubarkan parlimen. Dalam menjalankan tugas, mengikut perkara 55 (1) perlembagaan persekutuan, yda dari masa ke semasa hendaklah memanggil parlimen untuk bersidang dan hendaklah memastikan persidangan parlimen itu tidak. • parlimen akan terbubar dengan sendiri setelah genap lima tahun. Ketiga, parlimen mematuhi setiap prosedur operasi standard (sop) yang dikeluarkan majlis keselamatan negara (mkn) dan kementerian kesihatan sejak persidangan tahun lepas. Parlimen akan terbubar dengan sendiri setelah genap 5 tahun. Jadual kesembilan yang membahagi kuasa perundangan antara kerajaan pusat dan kerajaan negeri akan ditepikan dalam keadaan darurat. Peguam negara tan sri idrus harun menjelaskan, baginda. Perkataan yang digunakan untuk menggantikan 'wang tunai' daripada kerajaan. Walau bagaimanapun peruntukan untuk memanggil parlimen bersidang tidak mempunyai kesan di bawah perenggan 14(1)(a) ordinan darurat selama tempoh 11. Kuasa pemimpin atau nyawa rakyat. Ydpa mempunyai kuasa mutlak untuk menghentikan dan membubarkan parlimen.

Baginda juga mempunyai kuasa istimewa untuk memberhenti atau membubarkan parlimen. Yda juga mempunyai kuasa budibicara dalam perkara pembubaran parlimen. • parlimen akan kekal untuk tempoh lima tahun dari tarikh pertama persidangan selepas pilihan raya umum kecuali jika parlimen dibubarkan lebih awal. Maka, persidangan secara fizikal bukanlah satu halangan besar untuk parlimen bersidang lebih lama. Parlimen kekal untuk 5 tahun dari tarikh pertama persidangan selepas pilihan raya umum.

Siapakah Yang Mempunyai Kuasa Untuk Memanggil Parlimen Bersidang Siapakah Yang Mempunyai Kuasa Untuk Memanggil Parlimen Bersidang Parlimen Akan Terbubar Dengan Sendiri Setelah Genap 5 Tahun Jenengedadi
Siapakah Yang Mempunyai Kuasa Untuk Memanggil Parlimen Bersidang Siapakah Yang Mempunyai Kuasa Untuk Memanggil Parlimen Bersidang Parlimen Akan Terbubar Dengan Sendiri Setelah Genap 5 Tahun Jenengedadi from i1.wp.com
Paling panas peguam negara bongkar kuasa agong kuasa jemaah menteri buka parlimen. Perlembagaan persekutuan telah digubal dengan mengadakan. Tugas ydpa yang telah ditetapkan oleh perlembagaan ialah boleh memanggil parlimen untuk bersidang. Dalam menjalankan tugas, mengikut perkara 55 (1) perlembagaan persekutuan, yda dari masa ke semasa hendaklah memanggil parlimen untuk bersidang dan hendaklah memastikan persidangan parlimen itu tidak. Maka, persidangan secara fizikal bukanlah satu halangan besar untuk parlimen bersidang lebih lama. • parlimen akan kekal untuk tempoh lima tahun dari tarikh pertama persidangan selepas pilihan raya umum kecuali jika parlimen dibubarkan lebih awal. Parlimen hendaklah dipanggil bersidang tidak lewat dari 120 hari selepas tarikh pembubarannya. Learn vocabulary, terms and more with flashcards, games and other berada di bawah kuasa perundangan yang mengandungi ydpa peruntukan perlembagaan malaysia:

Baginda juga mempunyai kuasa istimewa untuk memberhenti atau membubarkan parlimen.

Baginda juga mempunyai kuasa istimewa untuk memberhenti atau membubarkan parlimen. Walau bagaimanapun peruntukan untuk memanggil parlimen bersidang tidak mempunyai kesan di bawah perenggan 14(1)(a) ordinan darurat selama tempoh 11. Paling panas peguam negara bongkar kuasa agong kuasa jemaah menteri buka parlimen. Betulkah parlimen akan terbubar dengan sendiri jika tak bersidang dalam tempoh 6 bulan. Ydpa mempunyai kuasa mutlak untuk menghentikan dan membubarkan parlimen. Melainkan jika dibubarkan terlebih dahulu. Baginda juga mempunyai kuasa istimewa untuk memberhenti atau membubarkan parlimen. Parlimen akan terus bersidang selama lima tahun daripada tarikh pertama parlimen bersidang selepas pru, kecuali jika parlimen dibubarkan sebagai ketua negara, hanya ydpa seorang sahaja mempunyai kuasa untuk memanggil parlimen bersidang, menghenti atau membubarkan parlimen. Berkuasa memanggil parlimen supaya bersidang. Ketiga, parlimen mematuhi setiap prosedur operasi standard (sop) yang dikeluarkan majlis keselamatan negara (mkn) dan kementerian kesihatan sejak persidangan tahun lepas. Mempunyai kuasa mutlak untuk menghentikan atau membubarkan parlimen. Berkait dengan kuasa jemaah menteri dalam menasihati yang dipertuan agong untuk memanggil parlimen bersidang, peraturan. Ydpa mempunyai kuasa mutlak untuk menghentikan atau membubarkan parlimen.

Related : Siapakah Yang Mempunyai Kuasa Untuk Memanggil Parlimen Bersidang / Senarai Keratan Akhbar Keratan Ini Hanya Terdapat Dalam Versi Bahasa Melayu 21 Mei 2021 Ahli Parlimen Adun Johor Diseru Bincang Johor Bahru Sultan Johor Sultan Ibrahim Sultan Iskandar Menyeru Agar Satu Perbincangan Secara Permesyuaratan : Walau bagaimanapun peruntukan untuk memanggil parlimen bersidang tidak mempunyai kesan di bawah perenggan 14(1)(a) ordinan darurat selama tempoh 11..